机器学习1

机器学习1

许世鹏 Lv3

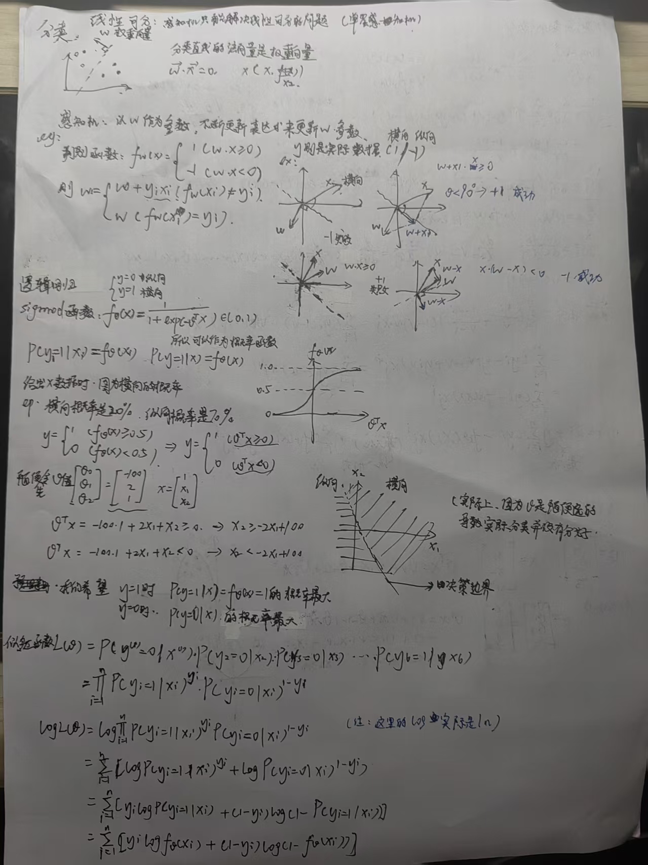
今天花了一天时间就把《机器学习的数学基础》这本书的前四章主体150页看完了,只剩了最后一章用python实现机器学习,数学原理和基本概念搞得差不多了,下面和大家分享一下。


哇,兄弟们,真的遭不住了,这些概念又多又杂,我写半天不知道该怎么写比较好,因为我觉得需要用大量的数学公式和图像来描述,而且涉及到许多本专业数学系高年级的课程,比如多元函数微分,常微分方程,多维随机变量分布,时间序列分析,最优化理论,大数定律和中心极限定理,傅里叶变换及拓展变换,好多我自己都没怎么搞清楚。博客的文字形式又不方便展示这玩意,所以只好把丑草稿拿上来,但字确实太丑了,不指望大家看这玩意,确实尽力了,实在不行推荐大家去CSDN看看那些专业人士写的,或者自己也亲自学一学机器学习看看书,应该对我们都有帮助(doge)。明天我就把最后一章看了,尝试用python实现一下代码,共勉。

微信图片_20250925003458_88_8_1758731890040.jpg
微信图片_20250925003454_86_8_1758731890112.jpg
微信图片_20250925003450_84_8_1758731890064.jpg
微信图片_20250925003456_87_8_1758731890134.jpg
微信图片_20250925003452_85_8_1758731890086.jpg
微信图片_20250925003500_89_8_1758731890162.jpg

  • 标题: 机器学习1
  • 作者: 许世鹏
  • 创建于 : 2025-09-24 23:50:11
  • 更新于 : 2025-09-25 09:08:26
  • 链接: https://spacex2000.cn/2025/09/24/机器学习1/
  • 版权声明: 本文章采用 CC BY-NC-SA 4.0 进行许可。
评论
目录
机器学习1